Innovative Bauteile kurz beleuchtet (Teil 3)
SuperCap und Akku
Das Entwicklerteam von ELV und eQ-3 mit ca. 90 Entwicklern konstruiert jährlich bis zu 120 neue Produkte inklusive Weiterentwicklungen und Produktanpassungen. Internationale Bauteilehersteller informieren uns laufend über aktuelle Bauteile und innovative Sensoren. An diesem Wissen möchten wir Sie gerne teilhaben lassen. In loser Reihenfolge stellen wir Ihnen spannende elektronische Bauteile mit umfassendem Hintergrundwissen, Datenblättern und Anwendungsbeispielen vor. In diesem Beitrag geht es um SuperCaps und Akkus als ideale Ergänzung zum elektrochemischen Energiespeicher.
Einleitung
Energiespeicher sind heute ein unverzichtbarer Bestandteil einer unterbrechungsfreien Energielieferkette, die elektrische, elektromechanische und elektrochemische Systeme zur Vorhaltung elektrischer Energie bis zu ihrem Bedarf benötigt.
Man denke an unterbrechungsfreie Stromversorgungen (USV) für den Funktionserhalt in Computeranwendungen bei Stromausfällen, Anwendungen zur Sicherstellung einer hohen Verfügbarkeit und Versorgungsqualität des Stromnetzes (Schwungmassenspeicher, SMES = Supraleitende Magnetische Energiespeicher, SuperCap-Speicher …) und Systeme für die mehrstündige Überbrückung der „Dunkelflauten” bei der Gewinnung von erneuerbaren Energien aus Sonne und Wind (Akkumulatoren, Druckluftspeicher, Pumpspeicherwerke …). Ausgelöst durch den Trend zur Elektrifizierung des Straßen- und Schienenverkehrs werden KERS-Techniken zur energetischen Pufferung entwickelt und eingesetzt (KERS: Kinetic Energy Recovery System = System zur Rückgewinnung kinetischer Energie).
Eine zunehmend wichtigere Rolle in diesen Szenarien spielt der Superkondensator (Supercapacitor = SuperCap). Seine physikalischen Grundlagen bis hin zum innovativen Einsatz in praktischen Anwendungen beschreibt der dieser Artikel.
Grundlagen des Kondensators
Die Grundform des Kondensators besteht aus zwei sich gegenüberstehenden metallischen Flächen, die durch ein isolierendes Medium (Dielektrikum) getrennt sind. Als Urkondensator kann die Leidener Flasche betrachtet werden. Dabei handelt es sich um ein Glasgefäß, auf dessen Innen- und Außenseite eine Metallfolie aufgebracht ist. Das isolierende Glas dient als Dielektrikum. Der preußische Jurist und Naturwissenschaftler Ewald Jürgen Georg von Kleist erhielt 1745 bei Laborversuchen mit Anordnungen aus Metallteilen und Gläsern elektrische Stromschläge, die auf eine Speicherung elektrischer Energie hinwiesen. 1775 verbesserte der italienische Physiker Allesandro Volta den Kondensator zu einem Gebilde aus zwei parallelen, gleich großen Metallplatten, deren Zwischenraum er mit isolierendem Ebonit ausfüllte (Bild 1).

Legt man an die Platten eine elektrische Gleichspannung U an, bildet sich im Dielektrikum ein elektrisches Feld, dessen Feldlinien senkrecht auf den Innenseiten der Platten stehen. Die Feldlinien nehmen ihren Anfang bei einer positiven Ladung +q und enden auf einer negativen Gegenladung -q. Somit ist die Summe der Ladungen auf der einen Platte ∑(+q) = +0 und auf der anderen ∑(-q) = -0.
Die Kapazität C (Capacity = Fassungsvermögen) des Kondensators ist der Quotient aus dem Betrag der Summenladungsmengen Q und der angelegten Spannung U (C = Q/U). Damit ist die Einheit der Kapazität As/V (Amperesekunde/Volt). Sie wurde zu Ehren des englischen Naturforschers Michael Faraday (1791-1867) mit dem Formelzeichen F (Farad) abgekürzt.
Zusammenfassend lässt sich sagen: Ein Kondensator mit der Kapazität von 1 Farad wird durch einen Strom von 1 Ampere in 1 Sekunde auf 1 Volt aufgeladen.
In der Kapazität des Kondensators schlagen sich die geometrischen Größen der Plattenfläche A (auch als Beläge des Kondensators bezeichnet) und des Plattenabstands d sowie der Materialeigenschaft des Dielektrikums „Relative Permittivität“ εr (veraltet auch „Relative Dielektrizitätskonstante“ genannt) gemäß Gleichung (1) nieder. Dabei ist εo die „Elektrische Feldkonstante“ (veraltet auch als „Dielektrizitätskonstante des Vakuums“ bezeichnet).
Das Speichervermögen für elektrische Ladungen eines solchen Kondendators (Kapazität) wird gemäß Gleichung (1) berechnet.

Gemäß Gleichung (1) wächst der Kapazitätswert bei einer Zunahme von Plattengröße A und relativer Permittivität εr sowie mit abnehmendem Plattenabstand d. Diese drei Größen werden daher als Stellschrauben zur Beeinflussunge der Kondensatorkapazität verwendet.
Die im Kondensator gespeicherte Energie W wird berechnet gemäß Gleichung (2):

Parallel- und Reihenschaltung von Kondensatoren
Die Parallelschaltung von Kondensatoren ergibt eine Gesamtkapazität aus der Summe der Einzelkapazitäten. Die Spannungsfestigkeit der Anordnung bestimmt dabei der Kondensator, dessen Spannungsfestigkeit überschritten wird.
Die Kapazität der Reihenschaltung einzelner Kondensatoren ergibt sich aus dem Kehrwert der Summe der Kehrwerte der Einzelkapazitäten. An jedem Einzelkondensator der Reihenschaltung tritt ein Bruchteil der an der Reihenschaltung anliegenden Gesamtspannung auf. Dieser ist umgekehrt proportional zu dessen Größe (vergl. Bild 10). Die Gleichung (3) fasst dies zusammen:

Der Kondensator als Ladungsspeicher
Allgemein gilt, dass die Gesamtkapazität einer Parallelschaltung stets größer ist als die größte Einzelkapazität (16,4 nF > 10 nF), bei der Serienschaltung ist die Gesamtkapazität hingegen stets kleiner als die kleinste Einzelkapazität (317,9 pF < 500 pF). Bei der Parallel- oder Reihenschaltung von zwei gleich großen Kondensatoren ist die Gesamtkapzität doppelt oder halb so groß wie die der Einzelkapazitäten.
Nutzbare Energiemenge eines Kondensators
Wenn ein Verbraucher zu seinem Funktionieren ein bestimmtes Versorgungsspannungsintervall Umin < Uversorg < Umax benötigt, kann ein ihn mit Betriebsenergie versorgender Kondensator mit der Kapazität C folgende nutzbare Energiemenge Wnutzbar zur Verfügung stellen:

Trend zur Miniaturisierung
Damit auch in moderner Elektronik unverzichtbare Kondensatoren das Ziel der Miniaturisierung nicht unerreichbar machen, muss auch ihr Volumen oder besser gesagt das Verhältnis Kapazität C/Volumen V (C/V) maximiert werden. Wir erinnern uns, dass wir dazu an den drei Stellschrauben
- dünneres Dielektrikum (d↓)
- größere Fläche der Elektroden bzw. Beläge (A↑)
- größere relative Permittivität des Dielektrikums (εr↑)
drehen müssen. Dies ist im Lauf der Jahre geschehen und hat zu Kondensatorformen und -typen geführt, deren C/V-Verhältnis stetig zugenommen hat (Bild 2).

Bei der Stärke des Dielektrikums sind Grenzen durch seine Spannungsfestigkeit gesetzt. Je dünner das Dielektrikum, desto höher ist die in ihm entstehende Feldstärke E =U/d. Wird diese zu hoch, kommt es zu Durchschlägen, die den Kondensator zerstören oder zumindest schädigen können.
Bei den im Folgenden besprochenen SuperCaps wird die Spannungsfestigkeit des Kondensators nicht durch Überschläge im Dielektrikum begrenzt, sondern durch die Zersetzungsspannung (Dissoziationsspannung) des Elektrolyten.
Der Superkondensator
Superkondensatoren werden im Englischen als SuperCaps, aber auch Ultracaps oder Boostcaps bezeichnet. Ihr herausstechendstes Merkmal ist das enorme C/V-Verhältnis (Kapazität/Volumen), das vieltausendmal größer als bei herkömmlichen Elektrolytkondensatoren sein kann. SuperCaps beruhen auf zwei Speicherprinzipien:
Elektrostatisch
Grundlage ist die Helmholtzsche Doppelschicht, ein Effekt an der Grenzfläche einer in einen Elektrolyten eingebrachten leitenden Elektrode. Dabei bildet sich eine Kapazität (Doppelschichtkondensator = EDLC: Electric Double-Layer Capacitor), in der durch Ladungstrennung elektrische Energie elektrostatisch gespeichert wird. Die Funktion des Dielektrikums übernehmen dabei Moleküle des Lösungsmittels des Elektrolyten.
Elektrochemisch
Wenn es einigen Ionen des Elektrolyten gelingt, die Barriere aus den Lösungsmittelmolekülen der Helmholtzschen Doppelschicht zu durchbrechen und mit der Elektrodenoberfläche in Kontakt zu kommen, findet dabei eine umkehrbare chemische Reaktion statt, die Redoxreaktion (Bild 3). Bei geeigneten Materialien von Elektrode und Elektrolyt werden vom Lösungsmittel-Ion ohne weitere chemische Bindung Elektronen an die metallische Elektrode übertragen (Faradayscher Ladungsaustausch). Durch die Elektronenaufnahme oxidiert das Elektrodenmaterial, wogegen die Elektronenabgabe der Lösungsmittel-Ionen diese reduziert. Aus der gleichzeitig stattfindenden Reduktion und Oxidation leitet sich das Kunstwort Redox ab. Das elektrische Verhalten gleicht dem einer Pseudokapazität, die als Mischform zwischen einem EDLC und einem Akkumulator anzusehen ist.

Bei einem SuperCap tritt die Pseudokapazität stets zusammen mit der helmholtzschen Doppelschichtkapazität auf. Beide Kapazitäten zusammen bilden die Gesamtkapazität des elektrochemischen Kondensators, wobei der Anteil der Pseudokapazität oftmals deutlich (bis zu 100 Mal) überwiegen kann. Beim Entladen löst sich die Doppelschicht auf und die pseudokapazitätsverursachende Redox-Reaktion läuft invers ab.
Hermann von Helmholtz (1821-1894) war einer der letzten Universalgelehrten (Bild 4). Als studierter Mediziner machte er sich durch verknüpfende Experimente und Theorien in den Disziplinen der Physiologie, Physik und Chemie einen Namen.

Bei seinen Untersuchungen der physikalischen Verhältnisse an der Grenze zwischen einem flüssigen Elektrolyten und einer metallischen Elektrode fand er 1874 heraus, dass sich in einem schmalen Bereich Ladungskonzentrationen aus Anionen (negativ geladene Ionen) im Elektrolyten und Kationen (positiv geladene Ionen) in der Metallelektrode gegenüberstehen. Die Anionen im Elektrolyten bezeichnet man als Helmholtzschicht (Bild 5).

Nimmt man die entgegengesetzt polarisierte Schicht in der Metallelektrode hinzu, spricht man von der helmholtzschen Doppelschicht, die ähnlich wie das Dielektrikum eines konventionellen Kondensators eine ladungstrennende Wirkung aufweist. Der so gebildete Kondensator mit extrem dünnem Plattenabstand von molekularer Größenordnung weist zwischen den Belägen enorme elektrische Feldstärken E auf.
So ist unterhalb der Zersetzungsspannung des Elektrolyten bei einer Potentialdifferenz von U = 2 V und einem molekularen Abstand von d = 0,4 nm, E = U/d = 2 V/0,4 nm = 5 V/nm = 5000 V/μm = 5 Millionen Volt pro mm, die in einem herkömmlichen Dielektrikum unweigerlich zum Durchschlag des Dielektrikums (Durchbruch der Ladungsträger) führen würde.
Die abstandsbedingte hohe spezifische Kapazität lässt sich durch ein poröses Plattenmaterial mit großer Oberfläche weiter steigern. Aktivkohle z. B. hat eine innere Oberfläche von 300 bis 2000 m²/g und damit eine enorme kapazitätssteigernde Wirkung. Gemäß Gleichung (1) kann die Kapazität einer Doppelschicht wegen großer Fläche A und kleinem Abstand d mehrere Tausend Farad betragen.
Das EDLC-Prinzip
Kondensatoren mit elektrischen Doppelschichten (EDLC: Electronic Double Layer Capacity) bestehen aus zwei in Reihe geschalteten Einzelkondensatoren, die sich jeweils an den Aktivkohlebelägen ausbilden. Die Gesamtkapazität ist gemäß Gleichung (3) halb so groß wie die einzelnen Doppelschichtkapazitäten.
Bild 6 zeigt schematisch, wie sich die ungeordneten positiven und negativen Ionen (Kationen und Anionen) im Elektrolyten beim Beginn der Ladung eines zuvor ungeladenen EDLCs separieren, indem sie sich in Richtung auf die positive oder negative Aktivkohleelektrode bewegen und dort je eine helmholtzsche Doppelschicht aufbauen (Ionenabsorption). Bei ihrer Diffusionsbewegung passieren die Ionen eine für sie durchlässige isolierende Separatorfolie, die zugleich der mechanischen Trennung von Anoden- und Kathodenelektrode dient.

Ist die Separation abgeschlossen, ist der EDLC voll geladen (Bild 7). Die Ladeschlussspannung muss stets unter der Zersetzungsspannung des Elektrolyten liegen. Bei wässrigen Elektrolyten liegt die Zersetzungsspannung bei etwa 1,5 V. Wird sie überschritten, bilden sich an der Kathode Wasserstoff und an der Anode Sauerstoff, wodurch der Innendruck des SupercCaps ansteigt. Bei der Mehrzahl der heute verwendeten SuperCaps werden Elektrolyte auf der Basis von organischen Lösungsmitteln mit einer Zersetzungsspannung von 1,35 V pro Doppelschicht, also insgesamt 2,7 V eingesetzt.

Mit dem Beginn der EDLC-Entladung verlassen die Ionen wieder die Aktivkohleelektroden, an denen sie angelagert sind (Ionendesorption), und die Doppelschichten werden abgebaut (Bild 8).

Es sei an dieser Stelle deutlich darauf hingewiesen, dass im Super-Cap ohne Berücksichtigung der Pseudokapazität beim Durchlaufen des Lade-Entlade-Zyklus keine elektrochemischen Stoffumwandlungen stattfinden. Die gespeicherte elektrische Energie ist ausschließlich elektrostatischer Natur. Die mit vielen Ladezyklen verbundenen Kapazitätsverluste eines Akkumulators treten beim SuperCap nicht auf.
Die Bewegung der Ionen im Elektrolyten erfolgt sehr schnell und ist deshalb die Ursache für die hohe Leistungsdichte (Watt/Volumen) eines SuperCaps. Er kann daher sehr hohe Impulsleistungen liefern, ist dem elektrochemischen Akkumulator aber in Hinblick auf die Energiedichte (Wh/Volumen) unterlegen.
Die vorstehenden Darstellungen des Lade- und Entladevorgangs sind vereinfachend. Helmholtz ging ursprünglich davon aus, dass je dem Elektroden-Ion ein Elektrolyt-Ion in einer starren Schicht gegenübersteht. Tatsächlich wirken Elektroden-Ionen aber auch über die starre Helmholtzschicht ausgreifend als diffuse Doppelschicht in den Elektrolyten hinein, wo sie zur Bildung der bereits erwähnten, die Gesamtkapazität des EDLCs deutlich erhöhenden Pseudokapazitäten führen. Dabei spielen elektrochemische Redoxvorgänge eine wichtige Rolle. Diverse Modelltheorien beschreiben in immer besserer Annäherung das reale Verhalten des EDLCs hinsichtlich der Art seiner Elektroden, des Elektrolyten, seiner Temperaturabhängigkeit usw. All dies im Detail zu erläutern, würde den Rahmen dieses Artikels sprengen und wohl auch bei den meisten Lesern die chemischen Kenntnisse übersteigen.
SuperCaps in der Praxis
Am Ersatzschaltbild eines Doppelschichtkondensators kann man einige seiner wesentlichen Eigenschaften verdeutlichen (Bild 9). Die beiden durch den Elektrolyten verbundenen Doppelschichtkapazitäten C1 und C2 sind in Reihe geschaltet. Für C1=C2=C gilt Cgesamt=C/2.

Diese beiden Kondensatoren sind über den Elektrolyten in Reihe geschaltet, wodurch die Gesamtkapazität halb so groß ist wie die der Doppelschichten.
Die Summe aus den Widerständen der Elektroden und des Elektrolyten 2RE+Ri (ESR = Equvalent Series Resistance) ist niedrig, was eine schnelle Entladung der Doppelschichtkapazitäten ermöglicht und die hohe Leistungsdichte des EDLCs begründet.
Der Leckwiderstand RLeck (engl. RLeak) ist die Ursache für die Selbstentladung des Kondensators. Er wird im Datenblatt eines Doppelschichtkondensators als RLeak angegeben und umfasst bei Kondensatormodulen auch den von einer Hilfsschaltung zum Ausbalancieren der Zellenspannung bei der Reihenschaltung mehrerer Kondensatoren verursachten Bypass-Strom.
Bei dem UltraCap „2.7V 325F“ des Herstellers Maxwell mit einem Energiespeichervermögen von 0,33 Wh beträgt der durch RLeak verursachte Leckstrom ILeak etwa 500 µA bei der Nennspannung von 2,7 V und 25 °C Umgebungstemperatur. Das entspricht etwa einem Zweimillionstel des Spitzenstroms von 270 A und führt in ca. 4 Wochen zur vollständigen Selbstentladung.
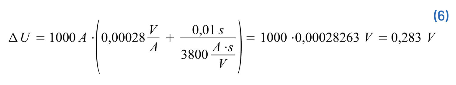
Die allgemeine Formel für die Abnahme der Klemmenspannung ΔU während der Entladung eines SuperCaps mit der Kapazität C mit Innenwiderstand R durch einen Strom I über den Zeitraum t lautet Gleichung (5):

Für eine minimale Spannungsabnahme in gepulsten Anwendungen, sollte ein SuperCap mit möglichst großer Kapazität und kleinem ESR gewählt werden.
Ein Beispiel:
Der SuperCap DRL388R0T61FA4 des Herstellers Samxon hat eine Kapazität von 3800 F und einen ESR von 0,28 mΩ. Um wie viel verringert sich seine Klemmennennspannung von 2,7 VDC, wenn er 10 ms lang 1000 A liefern soll (Gleichung (6))?

Die folgende Tabelle fasst wesentliche Unterschiede zwischen Super-Cap und Akkumulator zusammen.
| Typ | SuperCap | Akkumulator |
| Energiespeicherung | elektrostatisch (Doppelschichtkapazität) elektrochemisch (Pseudokapazität) | chemisch |
| Entladezeit | 1s-30 s | 0,3 h-3 h |
| Ladezeit | 1s-30s | 1h-5h |
| Energiedichte (Wh/kg) | 1-10 | 20-100 |
| Leistungsdichte (W/kg) | > 10000 | 50-200 |
| Lade-/Entladeeffizienz | 0,90-0,97 | 0,70-0,90 |
| Lade-/Entladezyklen | > 10000000 | 500-2500 |
| Umgebungstemperatur | -40°C- +70 °C | 0-60°C |
Cell Balancing
Wegen ihrer geringen Nennspannung müssen SuperCaps für viele Anwendungen in Reihe geschaltet werden, damit die Gesamtkapazität die erforderliche Spannungsfestigkeit aufweist. Die an ihnen auftretenden Teilspannungen sind umgekehrt proportional zu ihrer Größe, d. h., an kleineren Kondensatoren fällt eine höhere Spannung ab und umgekehrt. Dies wird in Bild 10 erläutert.

Geht man von exakt gleichen Kapazitätswerten der Einzelkondensatoren aus, fallen an ihnen auch die exakt gleichen Teilspannungen ab. In der Praxis unterliegen SuperCaps aber deutlichen Exemplarstreuungen und unterschiedlichem Alterungsverhalten, was dazu führen kann, dass die an einem kleineren Kondensator anliegende Spannung den Nennwert überschreitet und der Elektrolyt sich zu zersetzen beginnt. Das muss unter allen Umständen vermieden werden, damit der SuperCap nicht frühzeitig altert und ausfällt. Um eine symmetrische Spannungsaufteilung auf die einzelnen Reihenkondensatoren sicherzustellen, sind Symmetriermaßnahmen durch passives oder aktives Cell Balancing erforderlich.
Passives „Cell Balancing“
Das passive Ausbalancieren der einzelnen Super-Cap-Zellen ist mit relativ geringem Aufwand und den geringsten Kosten realisierbar (Bild 11).

Hier werden drei passive Methoden gezeigt.
Die preiswerteste Methode ist, jeder Kondensatorzelle einen Balancing-Widerstand RB (Shunt) parallel zu schalten. Er belastet Zellen mit geringerer Kapazität (an denen eine größere Teilspannung abfällt) stärker und senkt dadurch deren Klemmenspannung. Zellen mit größerer Kapazität werden weniger strombelastet. Passives Spannungsbalancieren ist nur für Anwendungen zu empfehlen, in denen der SuperCap nicht regelmäßig ge- und entladen wird und der zusätzliche Strom durch die balancierenden Widerstände tolerabel ist.
Bezüglich der Größe des Balancing-Widerstands ist man zu einem Kompromiss gezwungen. Für einen schnellen Spannungsausgleich sollte er so klein wie möglich sein. Um die Selbstentladungsverluste gering zu halten, sollte der Balancing-Widerstand hingegen so groß wie möglich sein. Dieses Dilemma wird in der Praxis gelöst, indem man den Balancing-Widerstand zu etwa einem Zehntel des Leckwiderstands wählt, also RB = 0,1 RLeck = 0,1 · UNenn/ILeck. UNenn und ILeck können dem Datenblatt des Kondensators entnommen werden.
Eine Verbesserung der Ausgleichsgeschwindigkeit lässt sich mit Zenerdioden anstelle von Widerständen erreichen. Ihre Durchbruchspannung muss unter der Nennspannung des SuperCaps liegen. Bei ihrem Erreichen wird die Zehnerdiode niederrohmig leitend und hält die Klemmenspannung des Super-Caps konstant. Weil die Zehnerspannungen auch bei gleichen Diodentypen Schwankungen der Durchbruchspannung bis zu 10 % unterliegen, sollten sie einen gewissen Abstand zur Nennspannung des SuperCaps haben, was aber mit Einbußen bei der gespeicherten Energie verbunden ist.
Eine weitere Verbesserung der Ausgleichsgeschwindigkeit bieten MOSFETS parallel zu den SuperCap-Zellen. Beim Erreichen der Nennspannung des Kondensators werden sie leitend und verhindern einen weiteren Anstieg der Klemmenspannung des Kondensators.
Die SABTM-MOSFETS (SAB: Super Capacitor Balancing) des Herstellers Advanced Linear Devices (ALD) sind als Array auf einer kaskadierbaren gedruckten Schaltung zum präzisen Balancieren von beliebig vielen in Reihe geschalteten SuperCaps erhältlich. Wegen des geringen zusätzlichen Energieverbrauchs sind sie besonders für den Einsatz in Energy-Harvesting-Anwendungen geeignet.
Aktives „Cell Balancing“
Das aktive Ausbalancieren der einzelnen Super-Cap-Zellen erfordert einen erhöhten technischen Aufwand und damit höhere Kosten.
Das aktive Ausbalancieren der SuperCap-Reihenschaltung ist verlustärmer und lässt sich durch entsprechende Software in der Spannungsüberwachung flexibel an die vorliegende Situation anpassen.
Das abgebildete Ausführungsbeispiel in Bild 12 zeigt einen SuperCap mit 166 F und 48 V Nennspannung, bestehend aus 18 aktiv ausbalancierten Einzelkondensatoren à 3000 F und 2,7V. Eine Überwachungselektronik misst die Spannung an jedem der in Reihe angeordneten SuperCaps. Nähert sich diese der Nennspannung wird der Schalter aktiviert und der Balancing-Widerstand beginnt dem weiteren Spannungsanstieg entgegenzuwirken.

Als Stichworte für weitere aktive Balancing-Lösungen seien DC-DC-Wandler, Operationsverstärker sowie Buck-Boost-Lade-ICs mit Balancer genannt.
Anwendungsbereiche für EDLCs
Zunehmend wird heute der Super Cap als Ersatz oder Ergänzung von Batterien- und/oder Akkumulatoren verwendet. Das Einsatzspektrum reicht von Energiegewinnungssystemen bis zu Energy-Harvesting-Anwendungen. Im Auto können SuperCaps die Starterbatterie beim Start-Stop-Betrieb unterstützen, besonders bei niedrigen Temperaturen. Das ermöglicht kleinere und leichtere Batterien und verringert so den Kraftstoffverbrauch.
Interessant sind auch KERS-Anwendungen (Kinetic Energy Recovery System = System zur Rückgewinnung kinetischer Energie). Besonders bei Elektrofahrzeugen kann die Bremsenergie in SuperCaps eingespeichert werden und steht beim Beschleunigen wieder als Antriebsenergie zur Verfügung. Erhebliche Stromeinsparungen lassen sich mit KERS auch beim Betrieb von Aufzügen erreichen.
Aber auch für die zuverlässige, nicht drahtgebundene Versorgung von Sensormodulen in IoT-Anwendungen mit winzigen, aus der Umwelt gewonnenen Energiemengen kann der Superkondensator vorteilhaft eingesetzt werden. Hier kann er die impulsartigen Ströme liefern, die das Funkmodul zum gelegentlichen Aussenden seiner Daten benötigt. Bei diesen Leistungsbursts in der Größenordnung von einigen 100 mW bricht die Spannung einer hochohmigen LiIon-Batterie zusammen. Durch die SuperCap-Unterstützung wird sie geschont und ihre Lebensdauer deutlich verlängert. So profitieren insbesondere auch LoRaWan®-Anwendungen von dem Einsatz der Super-Kondensatoren.
Ausblick
An der Verbesserung der Eigenschaften des Super-Caps wird ständig geforscht. Dabei spielen Elektrodenmaterial und Elektrolytzusammensetzung eine ausschlaggebende Rolle für Spannungsfestigkeit und spezifische Kapazität. Damit lassen sich die Lade- und Entladerate steigern, die Nennspannung vergrößern, die Zyklenfestigkeit erhöhen, die Lebensdauer verlängern und die Abmessungen verringern. Nicht zuletzt wird an der Produktionseffizienz gearbeitet, um die Herstellungskosten zu drücken und das Einsatzspektrum von Superkondensatoren zu erweitern.